30+ Ide Terbaru Taraf Intensitas Sebuah Sepeda Motor Adalah 60 Db
Januari 13, 2021
30+ Ide Terbaru Taraf Intensitas Sebuah Sepeda Motor Adalah 60 Db - Setiap orang pasti memiliki keinginan untuk memiliki sepeda, apalagi zaman ini banyak yang memodifikasi sepeda motor. Salah satu alasan modifikasi adalah agar terlihat berbeda dari kendaraan lainnya. Aktivitas ini tentu membutuhkan biaya besar, terutama modifikasi sepeda motor yang biasanya membutuhkan dana puluhan juta atau bahkan ratusan juta rupiah. Sebenarnya biaya modifikasi sepeda motor bisa diminalisir dengan memakai produk aftermarket yang murah. Dunia modifikasi sepeda merupakan tantangan buat peminat sepeda. Setiap detil komponen harus dipikirkan dengan penuh pertimbangan, agar mendapatkan sepeda motor dengan hasil yang memuaskan.
Untuk itulah simak penjelasan terkait sepeda motor agar sepeda dan motor yang kamu miliki semakin keren, tentunya dengan desain dan model sesuai dengan keinginan kamu.Ulasan kali ini dengan judul artikel 30+ Ide Terbaru Taraf Intensitas Sebuah Sepeda Motor Adalah 60 Db berikut ini.

Bunyi klakson sebuah sepeda motor saat dibunyikan . Sumber Gambar : brainly.co.id

SISWA TEKUN BELAJAR Intensitas Bunyi dan Taraf Intensitas . Sumber Gambar : siswatekunbelajar.blogspot.com

SISWA TEKUN BELAJAR Intensitas Bunyi dan Taraf Intensitas . Sumber Gambar : siswatekunbelajar.blogspot.com

FISIKA BLI ANGEL JEH Pembahasan contoh soal intensitas . Sumber Gambar : fisikabliangeljeh.blogspot.com

FISIKA BLI ANGEL JEH Materi dan pembahasan soal . Sumber Gambar : fisikabliangeljeh.blogspot.com

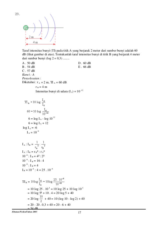
TARAF INTENSITAS BUNYI syaiflash com . Sumber Gambar : www.syaiflash.com

TARAF INTENSITAS BUNYI syaiflash com . Sumber Gambar : www.syaiflash.com

TARAF INTENSITAS BUNYI syaiflash com . Sumber Gambar : www.syaiflash.com

Taraf intensitas bunyi FISIKA SMA 12 . Sumber Gambar : www.slideshare.net

Bunyi mesin sebuah sepeda motor menghasilkan taraf . Sumber Gambar : brainly.co.id

Test Online Ebtanas . Sumber Gambar : www.invir.com

Taraf intensitas bunyi FISIKA SMA 12 . Sumber Gambar : www.slideshare.net

Taraf intensitas bunyi FISIKA SMA 12 . Sumber Gambar : www.slideshare.net

Pembahasan soal intensitas bunyi Gurumuda Net . Sumber Gambar : gurumuda.net

sepeda motor dan sebuah mobil polisi yang membunyikan . Sumber Gambar : brainly.co.id

Sebuah sepeda motor akan diuji kecepatannya Diperoleh . Sumber Gambar : brainly.co.id

135 cc Aja Ga Ada Yang Ngalahin Apalagi 350 cc Ada Yang . Sumber Gambar : rxkingnusantara.blogspot.com

SOAL Un fis 2014 benda benda mobil . Sumber Gambar : www.slideshare.net

analisalah percepatan kecepatan dan posisi benda yang . Sumber Gambar : brainly.co.id

Bahan ajar fisika gelombang pada dawai . Sumber Gambar : www.slideshare.net

Getaran gelombang dan bunyi . Sumber Gambar : www.slideshare.net

Tips Murah Trip Ke Lombok 3D 2N dari Surabaya Diskusi . Sumber Gambar : www.dictio.id

adi mengamati sebuah pesawat udara yang terbang di . Sumber Gambar : brainly.co.id

Un fisika 2005 . Sumber Gambar : www.slideshare.net

Bahan ajar fisika gelombang pada dawai . Sumber Gambar : www.slideshare.net

Sekilas Tentang Dolly Saiki Point UMKM dan Inspirasi . Sumber Gambar : www.anisae.com

Soal UN Fisika SMA 2014 Gelombang Bunyi . Sumber Gambar : www.slideshare.net

Getaran gelombang dan bunyi . Sumber Gambar : www.slideshare.net

Dua buah benda A dan B bermassa sama Kecepatan awal benda . Sumber Gambar : brainly.co.id

Getaran gelombang dan bunyi . Sumber Gambar : www.slideshare.net

Soal gelombang bunyi . Sumber Gambar : www.slideshare.net

sebuah mesin carnot beroperasi pada suhu antara 900 dan . Sumber Gambar : brainly.co.id

Rangkuman Contoh Soal Pembahasan Gelombang Bunyi . Sumber Gambar : tanya-tanya.com

UN Fisika 2009 2010 P37 FISIKA STUDY CENTER . Sumber Gambar : fisikastudycenter.wordpress.com

Rangkuman Contoh Soal Pembahasan Gelombang Bunyi . Sumber Gambar : tanya-tanya.com
Untuk itulah simak penjelasan terkait sepeda motor agar sepeda dan motor yang kamu miliki semakin keren, tentunya dengan desain dan model sesuai dengan keinginan kamu.Ulasan kali ini dengan judul artikel 30+ Ide Terbaru Taraf Intensitas Sebuah Sepeda Motor Adalah 60 Db berikut ini.

Bunyi klakson sebuah sepeda motor saat dibunyikan . Sumber Gambar : brainly.co.id

SISWA TEKUN BELAJAR Intensitas Bunyi dan Taraf Intensitas . Sumber Gambar : siswatekunbelajar.blogspot.com

SISWA TEKUN BELAJAR Intensitas Bunyi dan Taraf Intensitas . Sumber Gambar : siswatekunbelajar.blogspot.com

FISIKA BLI ANGEL JEH Pembahasan contoh soal intensitas . Sumber Gambar : fisikabliangeljeh.blogspot.com

FISIKA BLI ANGEL JEH Materi dan pembahasan soal . Sumber Gambar : fisikabliangeljeh.blogspot.com

TARAF INTENSITAS BUNYI syaiflash com . Sumber Gambar : www.syaiflash.com

TARAF INTENSITAS BUNYI syaiflash com . Sumber Gambar : www.syaiflash.com
TARAF INTENSITAS BUNYI syaiflash com . Sumber Gambar : www.syaiflash.com

Taraf intensitas bunyi FISIKA SMA 12 . Sumber Gambar : www.slideshare.net

Bunyi mesin sebuah sepeda motor menghasilkan taraf . Sumber Gambar : brainly.co.id
Test Online Ebtanas . Sumber Gambar : www.invir.com

Taraf intensitas bunyi FISIKA SMA 12 . Sumber Gambar : www.slideshare.net

Taraf intensitas bunyi FISIKA SMA 12 . Sumber Gambar : www.slideshare.net

Pembahasan soal intensitas bunyi Gurumuda Net . Sumber Gambar : gurumuda.net

sepeda motor dan sebuah mobil polisi yang membunyikan . Sumber Gambar : brainly.co.id

Sebuah sepeda motor akan diuji kecepatannya Diperoleh . Sumber Gambar : brainly.co.id

135 cc Aja Ga Ada Yang Ngalahin Apalagi 350 cc Ada Yang . Sumber Gambar : rxkingnusantara.blogspot.com

SOAL Un fis 2014 benda benda mobil . Sumber Gambar : www.slideshare.net

analisalah percepatan kecepatan dan posisi benda yang . Sumber Gambar : brainly.co.id

Bahan ajar fisika gelombang pada dawai . Sumber Gambar : www.slideshare.net

Getaran gelombang dan bunyi . Sumber Gambar : www.slideshare.net

Tips Murah Trip Ke Lombok 3D 2N dari Surabaya Diskusi . Sumber Gambar : www.dictio.id

adi mengamati sebuah pesawat udara yang terbang di . Sumber Gambar : brainly.co.id

Un fisika 2005 . Sumber Gambar : www.slideshare.net

Bahan ajar fisika gelombang pada dawai . Sumber Gambar : www.slideshare.net

Sekilas Tentang Dolly Saiki Point UMKM dan Inspirasi . Sumber Gambar : www.anisae.com

Soal UN Fisika SMA 2014 Gelombang Bunyi . Sumber Gambar : www.slideshare.net

Getaran gelombang dan bunyi . Sumber Gambar : www.slideshare.net

Dua buah benda A dan B bermassa sama Kecepatan awal benda . Sumber Gambar : brainly.co.id

Getaran gelombang dan bunyi . Sumber Gambar : www.slideshare.net

Soal gelombang bunyi . Sumber Gambar : www.slideshare.net

sebuah mesin carnot beroperasi pada suhu antara 900 dan . Sumber Gambar : brainly.co.id
Rangkuman Contoh Soal Pembahasan Gelombang Bunyi . Sumber Gambar : tanya-tanya.com

UN Fisika 2009 2010 P37 FISIKA STUDY CENTER . Sumber Gambar : fisikastudycenter.wordpress.com

Rangkuman Contoh Soal Pembahasan Gelombang Bunyi . Sumber Gambar : tanya-tanya.com